Focus on Flavonoids Extract
CAS No.: 7085-55-4
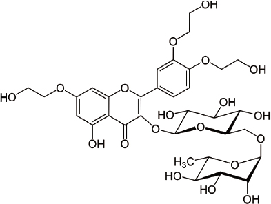
Molecular Formula: C30H36O16
Molecular Weight: 742.67
Specification: EP, DAB1999, Orally Grade

Troxerutin also called Venoruton, Vitamin P4, is classified as bioflavanoid. It is a derivate of Rutin through hydroxyethylation,able to use directly as API. It can be used for the treatment of varication, thrombosis, and cerebrovascular disease, thrombosis has better water-solubility and drug effect than Rutin.
Troxerutin is useful in inhibiting the aggregation of red blood cells and platelets, Preventing thrombogenesis, increasing blood oxygen content, and promoting neovascularity at the same time.
It can also build up capillary resistance, lower capillary permeability so that to prevent edema caused by increasing capillary permeability. It is with more functions, such as an anti-radiation lesion, anti-inflammatory, anti-allergic, anti-ulcer, etc.
| Product Name | Troxerutin |
|---|---|
| Botanical Source | Sophora Japonica L |
| Used Part | Flower Bud |
| Code | BPBE-606-A |
| Specification | EP |
| Appearance | Yellowish-green, crystalline powder, hydroscopic |
| Solubility | Freely soluble in water, slightly soluble in ethanol(96%) and practically insoluble in methylene chloride |
| Identification | A) IR: The infrared spectrum should be conformed to the Troxerutin CRS. B) The principal peak in the chromatogram obtained with the test solution is similar in position and size to the peak in the chromatogram obtained with the reference solution |
| Composition | |
| -Principal peak | ≥80% |
| -One peak | ≤10% |
| -Other each peak | ≤5% |
| Ethylene Oxide(GC) | ≤1ppm |
| Loss on Drying | ≤5.0% |
| Sulphated Ash | ≤0.4% |
| Assay(dried substance) | 95.0%~105.0% |
| Residual Solvents | |
| -Methanol | ≤3000ppm |
| Total Plate Count | ≤1000cfu/g |
| -Yeast & Mold | ≤100cfu/g |
| -E.Coli | Negative |
| -Salmonella | Negative |
| Storage | Preserve in tight containers, protected from strong light and high heat. |
Benepure is in full compliance with international requirements and certifications, certified by ISO9001, ISO22000, Kosher, HALAL, HACCP.





In our desire to fully respect people and nature around the world, Benepure focuses on using its full enthusiasm and new attitude to bring the world health, happiness and beauty